УДК 159.922.62 DOI 10.31429/26190567-24-3-24-44

Личностная зрелость как основа гармоничного и аутентичного бытия в условиях транзитивности

А. Ш. Гусейнов, В. В. Шиповская

Гусейнов Александр Шамильевич
Эл. почта: aguseinov@yandex.ru. ORCID 0000-0003-0928-7725

Шиповская Виктория Владимировна
Эл. почта: victship@mail.ru. ORCID 0000-0001-8756-9838

Кубанский государственный университет, ул. Ставропольская, 149, г. Краснодар, 350040, Россия

Аннотация. Какие феномены определяют гармоничность и аутентичность личностного бытия в условиях транзитивной реальности? Поиск ответа на этот ключевой вопрос психологии требует обращения к конструктам субъектоцентрического, интегративного характера. Одним из таких полисистемных и процессуальных феноменов является личностная зрелость, которая продолжает оставаться предметом дискуссий, связанных с ее содержанием. Данная проблема востребована в связи с отсутстием стабильных основ существования человека, а также в контексте связи с другими ключевыми понятиями, такими как преодоление, гармоничность, ценностно-­смысловая направленность, субъектная активность. Эта тема раскрывается в новом качестве в субъектно-­бытийном подходе, где подчеркнута созидательная роль личности как субъекта в организации бытийных пространств. На основании субъектно-­бытийной методологии сформулировано предположение о влиянии достигнутого уровня личностной зрелости на гармоничность личности, сформированность ее ценностно-­смысловой сферы и целостность образа Я. В эмпирическом исследовании (N = 150) использованы методики: «Психосоциальная зрелость личности» Б. К. Пашнева; «Методика исследования самоотношения» С. Р. Пантилеева, «Тест cмысложизненных ориентаций» Д. А. Леонтьева, «Интегральная гармоничность личности ИГЛ-3» О. И. Моткова. Выявленные паттерны значимых путевых коэффициентов в моделях, особенности направленности влияния позволяют рассматривать личностную зрелость, интегральную гармоничность, смысложизненные ориентации в качестве важных компонентов субъектной активности личности. Доказано, что общий уровень личностной зрелости и общий индекс смысложизненных ценностей оказывают прямое позитивное влияние на интегральную гармоничность личности. Сформированные смысложизненные ориентации играют роль медиатора между зрелостью и интегральной гармоничностью. Выявлены два механизма формирования регуляторного опыта личности (ингибиция и фасилитация), которые могут протекать симультанно. Зрелость усиливает положительные характеристики саморегуляции, а также подавляет формирование негативного регуляторного опыта. Установлена роль зрелости, осмысленности, гармоничности в процессе формирования структур самоотношения. Соответственно личностная зрелость определяет субъектный потенциал, продуктивность и гармоничность субъектной активности и становится основой аутентичного бытия личности в условиях усложненной социокультурной реальности.

Ключевые слова: личностная зрелость, вызовы транзитивности, субъектная активность личности, самоотношение, смысложизненные ориентации, гармоничность, субъектный потенциал, аутентичность личностного бытия.

Актуальность исследования проблемы

В современной социокультурной ситуации, характеризующейся неопределенностью микро- и макросоциальных пространств и кризисом духовно-­нравственных ценностей, проблема исследования субъектных проявлений личностной зрелости обладает как научной, так и социальной значимостью. Многоаспектные вызовы транзитивности требуют от человека сложносистемного мышления, обеспечивающего адекватное понимание происходящих социальных процессов, все более совершенных форм саморегуляции и взаимодействия с неопределенностью, гармоничной согласованности выбора целей и ресурсов, позволяющей реализовывать творческие потенции и социально приемлемым способом разрешать проблемы и противоречия.

Научная актуальность проблемы определяется разрозненностью фактов, касающихся ключевых компонентов и субъектных проявлений личностной зрелости, а также регуляторных механизмов ее формирования в процессе становления личности.

Личностная зрелость относится к числу традиционных тем академической психологии и конкретизирована преимущественно в теоретических исследованиях. В различных подходах авторы акцентируют взаимосвязанные свой­ства личностной зрелости — динамичность, принципиальную незавершенность и непрерывное развертывание, тем самым подчеркивая процессуальную природу феномена (Сергиенко, 2007; Харламенкова, 2009; Головей, 2014; Солдатова, Шляпникова, 2015).

Сегодня это понятие обрело статус ключевого психологического конструкта, обращение к которому необходимо не только при поиске конструктивных стратегий личностного развития в ситуации неопределенности жизненного контекста и ценностно-­смыслового хаоса, но и при анализе острых проблем современности, таких как отчуждение, экстремизм, беспомощность, социальный инфантилизм.

Эта тема получила новый импульс в связи с разработкой психологии возможного, которая актуализировала вопрос веерной причинности и отсутствия гарантированной реальности, проблему открытости человека не только фактичности, но и возможному (Знаков, 2020; Леонтьев, 2011, 2022), а также в связи с комплексом взаимосвязанных проблем, который строится вокруг таких ключевых конструктов, как экзистенциальный выбор, самоизменение, гармоничность, жизненное усилие, трансценденция, ценности, этичность жизни, субъектность.

Вместе с тем «содержание этой категории столь разнообразно и широко, что в последние годы ее употребление близко к метафорическому» (Феномен и категория зрелости…, 2007, с. 5). Это понятие иногда невольно отождествляется с другими конструктами (компетентность, продуктивность, жизненный опыт, мудрость, психологическое здоровье), что объясняется их родственной связью с эффективным функционированием и зрелым самоопределением личности, но приводит к размытости и многозначности его трактовок. Вероятно, эта неопределенность связана с предельной сложностью изучаемого феномена, и само разнообразие интерпретаций не отменяет наличие общих характеристик.

Нашим взглядам во многом созвучна дефиниция личностной зрелости З. И. Рябикиной, которая понимает ее как комплексный процессуальный феномен, «как возрастающую способность к порождению новых образований в пространстве смыслов и все большему освобождению от внешних детерминант, когда человек сам становится детерминантой происходящего с его организмом и средовыми обстоятельствами бытия» (Знаков, Рябикина, 2017, с. 292).

В связи с обновлением в психологической науке ее дискурсов, тезауруса и переходом психологической феноменологии на другой уровень сложности конструкт «личностная зрелость» и его составляющие нуждаются в теоретическом осмыслении и эмпирическом изучении, которое «позволит структурировать сверхсложную, многослойную психологическую реальность, часто текучую и ускользающую от статических определений» (Разработка понятий…, 2018, с. 8).

Тема личностной зрелости естественным образом смыкается с несколькими актуальными темами — с тематикой гармоничности, аутентичности и темой преодоления в психологии. Личностная зрелость в контексте проблемы гармоничности и её значимость для человека сформулирована ещё Г. Олпортом. В связи с этим целесообразно рассмотреть данные понятия в их соотнесении друг с другом. Поскольку субъектные проявления личностной зрелости (гармоничность и аутентичность способа существования, сформированность ценностно-­смысловой сферы) относятся к экзистенциальному уровню анализа личности или к уровню преодолевающей активности, в статье мы остановимся на близких нам позициях ряда авторов по исследуемой проблеме, а также попытаемся найти точки соприкосновения основных положений рассматриваемых теорий.

Психологические механизмы и ключевые характеристики личностной зрелости

На протяжении XX в. расширялись представления о феномене личностной зрелости. Психоанализу присуща направленность на утверждение преодолевающей активности как важного механизма личностной зрелости, благодаря которому человек выходит из сферы влияния иррациональных инстинктивных побуждений. Поскольку содержание бессознательного скрыто, требуются определенные усилия, чтобы осознать эти аспекты и выйти на оптимальный уровень функционирования личности. Согласно З. Фрейду, «наша природная организация сформировалась как раз в ходе усилий, направленных на познание внешнего мира, поэтому в ее структуре непременно должно иметь ­какое-то место соответствие этой цели» (Фрейд, 1991, с. 64). Эта революционная идея, касающаяся преодолевающей основы поведения, была продолжена и развита позже рядом исследователей. Она дала возможность описывать факторы, способствующие или препятствующие гармоничной и зрелой субъектной активности личности.

З. Фрейдом были сформулированы следующие признаки личностной зрелости: 1) осознание глубинной области неосознаваемой психической активности и способность реинтегрировать бессознательные содержания; 2) способность конструктивно отвечать на жизненные ситуации; 3) независимость; 4) продуктивность; 5) отказ от стихийных предрассудков и религиозных догматов; 6) самотождественность — понимание себя и своего места в мире (Фрейд, 1996). Личностная зрелость в концепции З. Фрейда предстает как неискаженный процессом подавления и искажения процесс преодоления инфантильности, направленный к все более глубокому пониманию внутреннего мира и собственного поведения. Соответственно незрелость связывается со смиренным подчинением бессознательному, в структуре которого отсутствуют представления о ценностях и нравственности. Оригинальную трактовку этой идеи предлагает М. Мамардашвили, констатируя, что если человек живет в своем сознании ложью о действительности, а ее истину (т. е. ее объективное устройство) воспринимает только в форме внешних, стихийных и иррационально-­неожиданных злоключений, то сознание лишь запутывается, приобретает черты раздробленности. «Оно мечется между присущим ему извращенно-­благонамеренным пониманием действительности и ощущением темной силы “дьявола”, вырастающей из реальных взаимосвязей людей и обнажающей внутреннюю фальшь существующего — различие между представлениями человека о самом себе, своем положении в обществе и тем, чем он является на самом деле, каково его действительное место в системе общественных отношений» (Мамардашвили, 1966, с. 168). Косность мысли и отсутствие позитивной мировоззренческой ориентации (в современной терминологии субъектной позиции) обусловливают внутреннюю дисгармонию, поддерживают беспомощность и безнадежность.

Успешное решение проблемы личностной зрелости требует от личности постоянной работы над собой, выработки собственной системы ценностей, жизненных целей, смыслов и умение действовать в соответствии с ними. Смыслы, подчеркивает Д. А. Леонтьев, во всех случаях выводят нас за пределы ситуации, за пределы реагирования на стимулы и непосредственные импульсы (Леонтьев, 2003). При этом зрелость не означает пожизненную и полную свободу от эмоциональных конфликтов и психологических проблем. Нельзя, говорит М. Мамардашвили, стать свободным, когда тебе, скажем, восемнадцать лет, и потом быть свободным всю жизнь, не занимаясь каждый день тем, чтобы снова, каждый раз заново, быть свободным (Мамардашвили, 2012, с. 179). Путь к зрелости, подчеркивает Конфуций, подобен долгому путешествию, человек должен постоянно сохранять бдительность, стойкость и внутреннюю собранность (Ясперс, 2007). Этот нюанс чётко выделяется и высвечивается в концепции К. Хорни, которая убеждена в том, что внутренняя работа — это не только самая главная нравственная обязанность, но и ключевая нравственная привилегия. Поэтому лучший способ преодоления деструктивных внутренних конфликтов состоит в том, чтобы перерасти их. Преодолевая внутренние конфликты и разрешая противоречия, человек утрачивает невротическую одержимость собой и тем самым обретает реальное Я, которое позволяет проявлять подлинные чувства и гибкость поведения (Хорни, 2019). Собственно говоря, в том, в какой мере человек способен расширить свое сознание и преодолеть детерминацию объективных факторов проявляется степень личностной зрелости.

Конструкт зрелой или развитой личности является постоянным объектом исследования в гуманистическом направлении психологии, где движение к зрелости рассматривается как имманентное свой­ство личности и основной источник жизни. В рамках этого направления были сформулированы критерии личностной зрелости, связывающие присущее человеку стремление к непрерывному развитию с ценностями, смыслами, духовным усилием и гармоничностью. При этом перечисленные понятия используются как обьяснительные на уровне рассмотрения механизмов формирования личностной зрелости, чье влияние реализуется через экзистенциальный выбор.

Так, Г. Олпорт считал, что для осмысления данного феномена как живой динамической системы нужно учитывать широкое разнообразие индивидуальных паттернов и использовать не только психологические, но и этические понятия — идеалы, ценности, принципы, мировоззрение. Более того, трудноразрешимой он представлял саму проблему описания единства и конкретного многообразия абсолютно зрелой личности, поскольку в реальной жизни такой воплощенный образец зрелости вряд ли можно найти, он предстает скорее как идеал. Рассматривая этот феномен в единстве личностных черт, мировоззренческой и просоциальной ориентации, он подробно описал согласованные между собой шесть критериев зрелости, которые определяют то, что в психоанализе обозначается термином «сила эго». Г. Олпорт пришел к выводу, что обретение зрелости связано с эволюцией его преодолевающей активности, которая во всех своих проявлениях начинает служить внутренним функционально автономным мотивам и идеальному Я. С расширением чувства Я и стремлением к увеличению жизненного напряжения человек готов идти на новые риски, но эта небезопасность сдерживается чувством соразмерности (гармонии). При этом гармоничность не является изолированным свой­ством личности. Появление гармоничности связано с особым взглядом на мир и сформированными интегральными ценностями, которые контролируют и сдерживают поток эмоциональных импульсов. По убеждению Г. Олпорта, самоконтроль — это отражение чувства пропорции. Проявлением личностной зрелости является самотрансцендентный взгляд на мир, когда человек стремится к постоянному развитию и выходит за пределы себя наперекор обстоятельствам. Этот стиль поведения становится возможным при включении механизмов преодолевающей активности, позволяя установить «партнерские отношения со всеми несогласованными условиями нашего собственного существования» (Олпорт, 2002, с. 206). Через самоопределение, выбор и усилия вложения себя в выбранную альтернативу может осуществиться возможное (Леонтьев, 2022).

Цели и ценности, которым подчиняется вся жизнедеятельность человека, — ключевые механизмы личностной зрелости, при этом важным становится нравственное содержание целей и ценностей. В случае, когда механизмы ценностно-­смыслового опосредствования побуждаются нравственными мотивами и наполняются духовным содержанием, они опосредуют «свободу для» в противовес «свободе от» и активность (Леонтьев, 2010). Этот нюанс зависимость поведенческих тенденций от характера целеполагания и целеосуществления четко акцентируется в акмеологической концепции А. А. Бодалева (1998). «Выдвинет перед собой личность социально ничтожные цели, которые могут ей самой казаться очень значительными, прибегнет, чтобы придти к ним, к действиям, не выдерживающим строгой нравственной оценки, приращения в духовном развитии личности не произойдет» (Бодалев, 1988, с. 63). Более того, при отсутствии нравственного стержня личностному развитию будет нанесен серьезный ущерб. Выделив в своих работах различные формы протестной активности личности, мы наглядно продемонстрировали, к каким трагическим последствиям приводит несформированность позитивных ценностных установок, отказ от экзистенциального самоопределения и безвольное принятие готовых смыслов и ложных ценностей (Гусейнов, 2015, 2017). При отсутствии интенсивной работы по присвоению ценностей самоцелью и способом негативного самовыражения и самоосуществления становится разрушительная протестная активность. С другой стороны, характерная для конструктивных форм протеста трансляция нравственных ценностей, этических принципов и способность к самотрансцендированию становятся фундаментом зрелой субъектной активности (Шиповская, Гусейнов, 2019).

В связи с этим важной задачей является изменение деструктивных жизненных целей и установок. Поскольку жизнь — это долженствование, подчеркивает А. Адлер, есть только одна альтернатива — отказ от эгоцентрической, самовозвеличивающей целевой установки и развитие чувства общности (Адлер, 2002, с. 214). Только в результате ценностно-­смыслового самоопределения возможно конструирование гармоничного жизненного стиля и позитивное самоизменение личности. Личностная зрелость, самопреодоление, гармоничность, моральные ценности и трансцендентные цели, таким образом, тесно взаимосвязаны и подкрепляют друг друга, поддерживая ориентированное на будущее аутентичное существование личности.

Преодолевающая активность как главный феномен личностной зрелости, результирующий в гармоничность, акцентируется и в теории А. Маслоу. Превращение в более зрелого человека рассматривается как напряженный и непрекращающийся процесс самопреодоления, кропотливый труд накопления маленьких достижений и путь к глубинам своей сущности и аутентичной природе. Этот длительный путь трансцендентной трансформации, подобный буддийскому пути просветления, сопряжен с экзистенциальным выбором того, что достойнее всего в жизни. Зрелые люди, по мнению ученого, четко различают, что подсказывает им внутренний голос по вопросам этики и ценностей (Маслоу, 1999, с. 197). Этот же нюанс — умение прислушиваться к голосу своей совести и действовать в согласии с ее требованиями — четко выделяет Э. Фромм (1992). С его точки зрения, с возрастанием гармонии со своей совестью расширяется возможность плодотворной творческой активности, основанной на чувстве долга, любви и заботе.

Само состояние зрелости как уровень аутентичного бытия, на котором возможна наиболее полная творческая самоактуализация, благотворно для человека, поскольку он теряет обычную дробность или фрагментацию личностного бытия, приобретая цельность и гармонию. «Происходит слияние эго, подсознания, супер-эго и эго-идеала, сознания, предсознания и бессознательного, первичных и вторичных процессов, синтез принципа удовольствия с принципом реальности, бесстрашный здоровый регресс во имя большей зрелости, истинной интеграции личности на всех уровнях» (Маслоу, 1999, с. 132). В результате полного принятия своей самости сглаживаются крайности, многие дихотомии и конфликты приходят к единству, преодолеваются или разрешаются. Данное положение согласуется с положением А. А. Бодалева (1998), касающимся того, что к цельности человека как личности приближает высокая степень сформированности у него совести, постоянная работа которой служит одним из условий минимизации проявления противоречивости в отношениях личности к действительности.

Стремление к высшему холизму познания и преобразование дихотомий изменяет отношение к миру, легче воспринимается и примиряется существование несовместимых, противоположных и противоречащих друг другу полярностей. А. Маслоу приводит пример парадоксального динамического соединения полярностей — синтез эгоизма с альтруистическими ценностями: «Преследуя, казалось бы, эгоистические цели, человек обязательно приносит пользу другим, а делая ­что-то бескорыстно для других, приносит пользу себе, и этот альтруизм доставляет удовольствие» (Маслоу, 1997, с. 178). Кроме того, автор акцентирует внимание на динамической параллельности или изоморфизме между внешним и внутренним: по мере того как человек и мир движутся к совершенству, они становятся все больше похожи друг на друга. Становясь Б-радостным, человек развивает способность замечать Б-радость, т. е. Б-ценности в этом мире. То есть гармоничность и альтруистические ценности определяет нашу активность, а последняя определяет окружающую реальность. «Если мы интегрированны, цельны, едины, спонтанны, если мы гармонично реализуем все заложенное в нас, тогда наше самовыражение, наши взаимоотношения с миром будут полными, своеобразными и идиосинкратичными, живыми и творческими, в них не будет следа скованности, искусственности» (Маслоу, 1999, с. 170). Именно гармония — согласованность между внутренним и внешним и доминирование высших метапотребностей (в совершенстве, справедливости, красоте, правде) становятся ключевой характеристикой высшего уровня зрелости и психологического функционирования личности. При этом смысл обретения личностной зрелости не только в получении ответа на вопрос о своей сущности, но и в творческом подходе и получении удовольствия от всех проявлений бытия, каждое из которых становится все более гармоничным и аутентичным. Личностная зрелость прямо связывается не с конформистским приспособлением, а с самопреодолением, этическим сознанием и самотрансцеденцией — стремлением «подниматься над окружением, быть независимым от него, противостоять ему, сражаться с ним, пренебрегать им, отвергать или переделывать его» (Маслоу, 1997, с. 221–222).

Тему личностной зрелости в аспекте внутренней согласованности очень подробно и всесторонне разрабатывает в своих работах К. Роджерс, который подчёркивает решающее значение гуманистических ценностей и аутентичности как важных аспектов личностной зрелости, обусловливающих более реалистичное и целостное самовосприятие, реалистичное поведение и гармоничные отношения с миром: «Быть своим истинным Я становится самой ценной частью жизни человека, когда он может двигаться в любом направлении» (Роджерс, 2002, с. 906). Это не просто интеллектуальный ценностный выбор, это поисковая активность, с помощью которой человек движется к подлинному, гармоничному и неискаженному образу Я. При принятии всей сложности своих чувств они действуют в созидательной гармонии, препятствуя личностной деструктивности (агрессия, враждебность, беспомощность). Поэтому «в любое время и в любой культуре человек будет жить сознательно, в гармонии со своей культурой, необходимой для сбалансированного удовлетворения его потребностей» (Роджерс, 2002, с. 925).

Соответственно гармоничность и аутентичная жизнь возможы лишь при творческом самодвижении к зрелости личности, в процессе преодолевающей активности, расширяющей свою самоактуализацию, несмотря на возможные ошибки, трудности и противоречия. Следуя этому процессу, личность становится все более интегрированной и у человека появляется больше возможностей для выбора аутентичного способа существования. Степень конгруэнтности (согласованности) между коммуникацией, поведенческими проявлениями, опытом и его осознанием отражает степень личностной зрелости. К. Роджерсом выделена существенная особенность зрелой личности — переживание меры соответствия Я-реального Я-идеальному. Аналогично в современной концепции Р. М. Шамионова подчеркивается важность достижения согласованности и гармоничного баланса социальной и личностной конгруэнтности, направляющих субъектную активность в конструктивное русло и способствующих выстраиванию внутренней целостности (Шамионов, 2012). Эту же мысль развивает и М. Мамардашвили: «Миссией зрелой личности, которая выступает как “точка сборки”, является собирание себя, соединение с самим собой» (Мамардашвили, 1995, с. 151). Таким образом, самотрансценденция (расширение своих границ в процессе самоосуществления), тесно связанная с конструктом зрелой личности, способствует внутренней гармоничности, интегрированности личности и аутентичности бытия.

Субъектно-­бытийная методология — путь к комплексному изучению субъектных проявлений личностной зрелости

В качестве дополнительной аргументации относительно субъектных проявлений такого комплексного интегрального понятия, как личностная зрелость, приведем основные положения субъектно-­бытийного подхода, где была продолжена и развита гуманистическая традиция. Один из центральных в данном подходе — конструкт аутентичности. Это понятие, характеризующее личностное бытие, раскрывает соответствие ценностей, решений и поступков внутренней сущности человека.

В рамках данного подхода введено представление о личности как субъекте формирования бытийных пространств, в которых личность персонализируется и расширяет собственные границы, одновременно меняя пространство для Другого (Рябикина, 2005, 2011). Характер бытия рассматривается как критерий «конструктивной гармонии» личности и среды, поскольку определённым образом организованная среда может как препятствовать, так и поддерживать человека в его стремлении стать зрелой личностью, реализовать свои потенциалы, наполнить бытие смыслом (Рябикина, 2011).

В формировании личностной зрелости ведущая роль отводится механизму преодолевающей активности, смыслообразованию и самоопределению (Рябикина, 2005; Фоменко, 2017). Речь идет не просто о некритичном, автоматическом усвоении ценностей, приводящем к конформизму, а об индивидуализации социальных норм и самостоятельной выработке ценностей и смыслов. Говоря о невозможности аутентичного бытия в случае интроецирования смыслов, З. И. Рябикина отмечает: «Если мы видим, как наполненно переживает свое бытие другой человек, мы не можем, повторяя его манипуляции с внешней реальностью, достичь того же чувства полноты» (Фоменко, Рябикина, 2018, с. 56). Автор подчеркивает характерную тенденцию поведения зрелой личности — отвлечение от экстенсивного тренда в овладении пространствами бытия и «углубление своего присутствия в тех пространствах, которые ею осознаются и конструируются как наиболее существенные для ее самоактуализации и чувства идентичности» (Фоменко, Рябикина, 2018, с. 19). Следовательно, преобразование и гармонизация избранных бытийных пространств в соответствии с собственными смыслами, а также полнота и успешность самореализации в них рассматриваются в качестве значимых критериев личностной зрелости. Личностная зрелость обнаруживается также в «овладении» собственным внутренним миром, своим поведением и установлении внутренней интегрированности и баланса в отношениях с миром (Фоменко, 2010).

Зрелые стратегии поведения предполагают не только ориентировку в системе личностных смыслов и смыслообразующих мотивов, но и их согласованность, органичную связность побуждений и возможностей, которая достигается с помощью внутренней работы. При этом важным становится выход за пределы сиюминутного деяния, целенаправленная устремленность на реализацию призвания. В. В. Знаков вводит важное уточнение, касающееся самотрансценденции: творческий субъект всегда должен открывать новые возможности реализации своих планов, а также превращать в возможное то, что кажется невозможным. (Знаков, 2020).

Меру личностной зрелости и аутентичности раскрывает предпочитаемый способ существования, который синонимичен модусу бытия личности. В исследованиях Г. Ю. Фоменко проанализирована качественная специфика экстремального и предельного модусов бытия, в основе которых лежат различные ценностно-­смысловые установки. Автору удалось показать суть предельного способа существования — потребность в субъективном преобразовании объективно ограничительных условий в «пространство свободы» и стремление к аутентичному бытию в них. При этом модусе бытия выявляется более масштабный контекст в осмыслении происходящего — связь с вечными вопросами, потребность в идеалах, выработке своего мировоззрения, имплицитно сопряжённого с двумя базовыми экзистенциальными дихотомиями: жизнь — смерть и свобода — детерминизм. Предпочтение предельного существования «пересотворяет» человека, снимая противоречия нижележащих уровней (психофизиологического, характерологического и т. п.), тем самым позволяя ему преодолевать ограниченность личностной ресурсности и устанавливать гармоничные отношения с миром. Экстремальный способ существования характеризуется неполнотой, дисгармоничностью и ущербностью бытия личности, поскольку при этом модусе бытия на первый план выступает потребность во внутренней согласованности, которая сводится к потребности самосохранения. Две другие базовые потребности — потребность в самоактуализации и потребность быть подтверждённой внешним подвергаются существенной редукции, что делает невозможным формирование аутентичного бытия (Фоменко, 2010).

Феномен личностной зрелости предстает как следствие преодолевающей активности личности (степень затраченных духовных усилий), как процесс, подверженный негативным и позитивным флуктуациям, создающим различные конфигурации и изменения структуры параметров личностной зрелости в разные периоды взрослости (Гусейнов, А.Ш., Шиповская В. В., 2021). Личностная зрелость обнаруживается в организации аутентичного бытия и реализации следующих направлений субъектной активности: а) самотрансцендирование во внешних бытийных пространствах и преодоление ограничительных условий своего существования; б) контроль над внутренним миром и собственной жизнью; в) разрешение разноуровневых противоречий и достижение внутренней целостности и гармонии.

Таким образом, в субъектно-­бытийном подходе утверждается субъектный взгляд на природу личностной зрелости, отражая тенденцию все большего признания преодолевающей активности личности в процессе ее формирования (Знаков, 2020; Рябикина, 2005, 2011; Фоменко, 2007, 2017; Шиповская, Гусейнов, 2022). Методология субъектно-­бытийного подхода дает возможность изучать механизмы, факторы формирования и динамику личностной зрелости, стратегии ее достижения в самых разных социальных и личностных контекстах через такие системные и процессуальные феномены как модус бытия, протестная активность личности, самоопределение, гармоничность и др. Проблема личностной зрелости рассматривается как способ самотворения и самоизменения субъекта в условиях повседневного бытия, которое тем самым приобретает экзистенциальное измерение. Анализ содержания, которым наполняется конструкт личностной зрелости в субъектно-­бытийном подходе, позволяет говорить о его ключевых параметрах: самотождественности, самодетерминации, субъектной позиции, ответственности, самодвижении к истинной субъектности, экзистенциальном самоопределении. Это те критерии, которые свидетельствуют о сформированности мотивационно-­потребностной и ценностно-­смысловой сфер личности, в которых на вершине их иерархии находятся высшие духовные, культурные потребности и гуманистические ценности.

Цель эмприрического исследования, результаты которого представлены в статье, состоит в выявлении взаимосвязи и взаимовлияния параметров личностной зрелости с компонентами гармоничности личности, самоотношения и ценностно-­смысловой сферы. На основании методологии субъектно-­бытиийного подхода была сформулирована гипотеза о влиянии достигнутого уровня личностной зрелости на гармоничность личности, сформированность ее ценностно-­смысловой сферы и целостность образа Я.

Испытуемые и методика

Характеристика выборки. В исследовании приняли участие жители г. Краснодара в возрасте от 15 до 56 лет: M = 22,78; SD = 7,55. Объем выборки: N = 150; мужчины — 44%, женщины — 56%.

Методический инструментарий: методика «Психосоциальная зрелость личности» Б. К. Пашнева, «Методика исследования самоотношения» (МИС) (Пантилеев, 1993), «Тест cмысложизненных ориентаций» (СЖО) (Леонтьев, 2000) «Интегральная гармоничность личности ИГЛ-3» (Мотков, 2020).

В работе использованы методы структурного моделирования (путевой анализ) (Raykov, Marcoulides, 2006; Bentler, 1990). Вычисления производились с помощью пакетов статистических программ IBM SPSS 21.0, AMOS 23.

Эмпирические результаты и их интерпретация

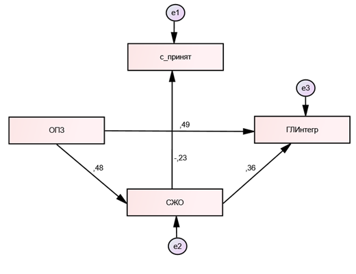
В статье отобраны для анализа только значимые путевые модели, представляющие содержательный интерес и соответствующие данные. Рассмотрим основные параметры путевой модели 1 (рис. 1): общий индекс соответствия: χ-квадрат = = 2,279 (при df = 2, p = 0,320). Ее индексы следующие: RMSEA (среднеквадратичная ошибка подгонки) = 0,031. Критерии пригодности: NFI (нормированный индекс) = = 0,985; CFI (сравнительный индекс) = 0,998.

Описание диаграммы путей целесообразно начать, исходя из анализа прямого влияния предикторов на независимую переменную. Выявлен прямой эффект воздействия Личностной зрелости (ОПЗ) на Интегральную гармоничность ИГЛ (на рисунках — ГЛИнтегр), являющуюся зависимой переменной. Модель предполагает, что Личностная зрелость (ОПЗ) оказывает прямое позитивное влияние на Интегральную гармоничность (β = 0,49) и на Смысложизненные ориентации (СЖО) (β = 0,49). Директивное влияние СЖО на ИГЛ умеренное (β = 0,35), а прямое влияние СЖО на Самопривязанность (β = 0,18) заметно, но невелико. Обнаруживается косвенное влияние Личностной зрелости на Интегральную гармоничность: Зрелость влияет на Смысложизненные ориентации, которые, в свою очередь, влияют на Интегральную гармоничность (0,49) (0,35) = (0,1728). Но также заметно опосредованное влияние ОПЗ на Самопривязанность: Зрелость оказывает позитивное влияние на СЖО, которые, в свою очередь, влияют на Самопривязанность (0,49) (0,18) = 0,088. Таким образом, наблюдается двой­ной медиационный эффект: Зрелость посредством Смысложизненых ориентаций влияет как на ИГЛ, так и на Самопривязанность. Общее влияние переменной ОПЗ на ИГЛ довольно велико (0,6615).

Анализ модели 1. Психологическая зрелость оказывает как прямое, непосредственное положительное влияние на процесс формирования интегральных черт гармоничности личности, так и косвенное, посредством выработки устойчивых смысложизненных ориентаций. Выработанная система личностных смыслов, подкрепленная зрелостью, положительно сказывается на формировании самопривязанности как характеристики самоотношения. Высокий уровень показателя самопривязанности определяет законченность, целостность собственного образа и его аутентичность. Негативной стороной данного процесса является нежелание изменений, в то время как подчеркивается необходимость самоизменений для сохранения устойчивости и самотождественности личности (Гришина, 2018).

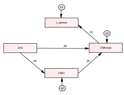
Рассмотрим структурные характеристики следующей путевой модели (модель 2). Ключевые параметры путевой модели 2 (рис. 2): Общий индекс соответствия: χ-квадрат = 2,609 (при df = 2, p = 0,271). Ее индексы: RMSEA (Среднеквадратичная ошибка подгонки) = 0,045. Критерии пригодности: NFI (нормированный индекс) = = 0,984; CFI (сравнительный индекс) = 0,996.

Выявлен прямой эффект влияния Личностной зрелости (ОПЗ) на Интегральную гармоничность (ГЛИнтегр), являющуюся объясняемой экзогенной переменной. Согласно спецификации модели, ОПЗ оказывает прямое позитивное влияние на Интегральную гармоничность (ИГЛ) (β = 0,49) и на Смысложизненные ориентации (СЖО) (β = 0,48). Прямое действие промежуточной каузальной переменной СЖО на ИГЛ умеренное (β =0,36), а прямое влияние СЖО на параметр Самопринятие (С_принят) методики МИС (β = –0,23) имеет умеренно выраженный отрицательный характер. Отмечается косвенное влияние Личностной зрелости на Интегральную гармоничность: зрелость влияет на Смысложизненные ориентации, они, в свою очередь, воздействуют на Интегральную гармоничность (0,48) (0,36) = (0,1723). Также выявлено опосредованное действие Зрелости на Самопринятие: Зрелость оказывает позитивное влияние на СЖО, а они последовательно негативно влияют на Самопривязанность (0,48)*(0,23) = –0,1104. Также наблюдается двой­ной медиационный эффект: Зрелость посредством Смысложизненых ориентаций оказывает опосредованное действие как на ИГЛ, так и на Самопринятие. Общее влияние переменной ОПЗ на ИГЛ велико (0,6623).

Анализ модели 2. Как и в предыдущей модели, зрелость формирует свой­ства гармоничной личности, а осознанность жизни способствует интеграции личностных структур. Зрелость, определяющая формирование смысложизненных ориентаций, обусловливает непринятие себя, несогласие с собой. Низкие показатели самопринятия, указывающие на негативную оценку собственных качеств, могут свидетельствовать о внутренней открытости и развитой рефлексии, а также об объективности и честности по отношению к себе, проявляющейся в понимании своего несовершенства.

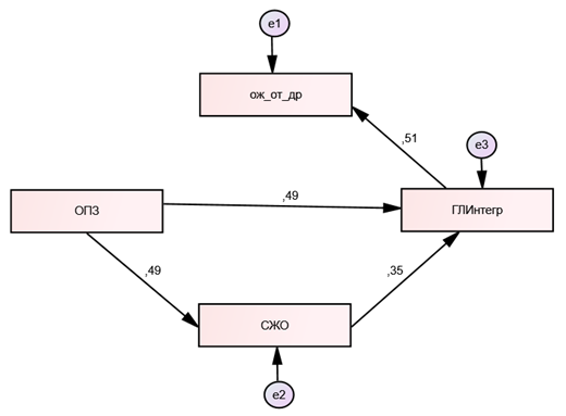
Далее разберем характеристики двух сходных по структуре путевых моделей (3 и 4), которые отражены на рис. 3 и 4.

Статистические показатели путевых моделей 3 и 4 обнаруживают хорошее соответствие данным: у модели 3 χ-квадрат = 2,299 (при df = 2, p = 0,317); а у модели 4 χ-квадрат = 1,807 (при df = 2, p = 0,405).

Схемы на рис. 3, 4 отображают регрессионные коэффициенты триады (зрелость-­ценности-гармоничность) у моделей 3 и 4, которые практически идентичны соответствующим коэффициентам модели 1. Как и в структурных моделях 1 и 2, в анализируемых моделях 3 и 4 сохраняется общий паттерн детерминации в триаде: зрелость — ценности жизни — интегральная гармоничность, в которых смысловые жизненные установки также выполняют функцию медиатора. В модели 3 Интегральная гармоничность личности оказывает позитивное влияние (β = 0,42) на параметр Самоценность (шкала самоотношения), (на рис. 3: С_ценность). В модели 4 Интегральная гармоничность личности положительно влияет (β = 0,51) на параметр Ожидаемое отношение от других (шкала самоотношения), (на рис. 4: ож_от_др). Интегральная гармоничность, определяемая личностной зрелостью и «подпитываемая» уверенностью в контроле над собственной жизнью, формирует такие важные структурные компоненты самоотношения, как принятие собственной ценности и ожидаемая позитивная оценка со стороны других. Эти компоненты, формирующие более «высокий, дифференцирующий уровень Я-концепции» связаны с ощущением собственной уникальности (Бодалев, Столин, 2002, с. 354).

Согласно модели 3, интегральная гармоничность определяет такие компоненты самоотношения, как понимание, сопереживание, дружеское отношение и уважение к себе, значимость в глазах других. Модель 4 отражает влияние Интегральной гармоничности на формирование позитивной самооценки, духовности и богатства внутреннего мира. Тем самым интегральная гармоничность создает условия для конструктивных межличностных отношений.

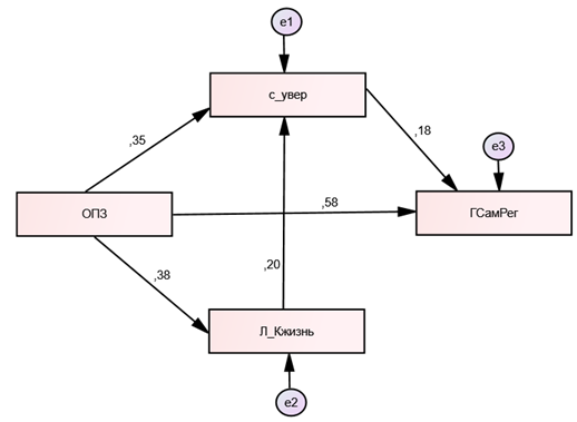
С целью более дифференцированного подхода к анализу влияния отдельных шкал личностной зрелости, смысложизненных ориентаций, самоотношения и гармоничности личности рассмотрим путевую модель 5 (рис. 5).

Статистики модели 5 показывают хорошее соответствие данным: χ-квадрат = 0,063 (при df = 1, p = 0,802). Как видим на диаграмме путей, общий уровень (индекс) личностной зрелости ОПЗ оказывает прямое позитивное влияние на шкалы, определяющие способность контролировать жизнь (Л_Жизнь), осуществлять волевой самоконтроль и регуляцию эмоций (ГСамРег), ощущение уверенности (С_увер) (β = 0,35). Самоуверенность, восприятие себя как волевого и надежного человека, подкрепленное позитивным влиянием (β = 0,20) уверенности в подконтрольности собственной жизни (шкала ЛК Жизнь методики СЖО), оказывают положительное воздействие (β = 0,18) на саморегуляцию (шкала методики ИГЛ). Соответственно, локус контроля жизни СЖО и черты самоуверенности МИС выступают в качестве модерирующих переменных, опосредуя влияние психологической зрелости на саморегуляцию. Уверенность в своей способности контролировать свою жизнь способствует самоконтролю эмоций и успешному решению жизненных задач.

Далее проанализируем более сложную модель 6 (рис. 6).

Модель 6 хорошо соответствует данным: χ-квадрат = 1,861 (при df = 3, p = 0,602). Модель довольно интересна, поскольку отражает множественное прямое влияние шкалы Сила Эго методики ОПЗ на шкалы других методик. Так, шкала Сила Эго определяет особенности некоторых шкал методики МИС, позитивно влияя на Саморуководство (β = 0,21) и негативно на шкалу Внутренняя конфликтность (вн_конфл) (β = –0,48). В то же время и Сила Эго (β = 0,21) и Саморегуляция (β = 0,21) в равной степени оказывают положительное влияние на Саморуководство. Сила Эго оказывает директивное воздействие на Саморегуляцию (β = 0,37) (шкала ГСамРег методики ИГЛ) и на Цели (β = 0,37) (шкала СЖО), формируя жизненную программу, временную перспективу и способность к саморегуляции. На путевой диаграмме хорошо видно, что Внутренняя конфликтность способна оказывать обратное действие на Саморегуляцию (β= –0,24) и на Цели в жизни (β = –0,33). Таким образом, Сила Эго способна оказывать тормозящее действие, замедляя деструктивное влияние Внутренней конфликтности. Кроме того, Сила Эго определяет успешность саморегуляции, способность к самоуправлению, и эффективность целеполагания.

Обсуждение результатов

Основываясь на результатах анализа шести значимых путевых моделей, следует отметить несколько важных моментов: общий уровень личностной зрелости, как и общий индекс смысложизненных ценностей, оказывает прямое позитивное влияние на интегральную гармоничность личности.

Сформированные смысложизненные ориентации играют роль медиатора (посредника) между зрелостью и интегральной гармоничностью личности. То есть личностная зрелость улучшает возможность реализации жизненных планов, и эта уверенность в самоосуществлении, ощущение контролируемости жизни способствует формированию структур гармоничной личности.

Трехзвенная связка компонентов субъектной активности личности (влияние зрелости на гармоничность при опосредующей роли смысложизненных ценностей) остается константной во многих путевых (структурных) моделях. В то же время каждый из элементов данной констелляции — зрелость — гармоничность — смысложизненные ориентации — по-разному влияет на формирование структур (шкал) самоотношения. Зрелость формирует открытость; гармоничность закрепляет и усиливает качества самоценности, а осмысленность жизни определяет особенности самопринятия и самопривязанности. Таким образом, просматривается дифференцирующая роль каждого из компонентов данной триады (зрелость — осмысленность — гармоничность) в процессе формирования структур самосознания.

Личностная зрелость как готовность к активности и изменениям формирует самопонимание, открытость к общению и взаимодействию с социумом; осмысленность, ценность и контролируемость жизни, выступая мерой продуктивности, формируют качества привязанности к себе; интегральность и гармоничность личности способствуют самоценности и позитивному принятию другими.

Интересно проследить роль отдельных субъектных проявлений: зрелости, гармоничности и смысложизненных ориентаций. В частности, личностная зрелость позитивно влияет на развитие конструктивных регуляторных компонентов самосознания, которые формируют регуляторные качества гармоничной личности. Центральную роль в формировании регуляторных качеств гармоничной личности играет уверенность и саморуководство как компоненты самоотношения. Личностная зрелость сдерживает влияние деструктивных регуляторных функций самосознания, замедляющих формирование регуляторных качеств гармоничной личности. Таким образом, положительные и отрицательные регуляторные компоненты самоотношения играют роль триггерно-­модерирующих механизмов в формировании структурных компонентов саморегуляции гармоничной личности. То есть возможны две траектории развития, два механизма формирования регуляторного опыта личности. Первая траектория предполагает, что зрелость усиливает положительные структуры саморегуляции, а вторая линия отражает вклад зрелости в подавление формирования деструктивного регуляторного опыта личности. При этом оба этих механизма саморегуляции (ингибиция и фасилитация) могут протекать симультанно, действовать одновременно.

Немаловажно и то, что не вошло в анализ данного исследования. Модели не показали значимых вкладов триады зрелость — гармоничность — смысложизненные ориентации в формирование деструктивных компонентов самотношения (внутренней конфликтности, самообвинения), которые могут обусловливать дезадаптацию и личностные деструкции. Это может свидетельствовать о том, что зрелость, гармоничность и смысложизненные ориентации как проявления субъектного потенциала вносят значительный вклад в формирование только позитивных компонентов самоотношения.

Итак, паттерны значимых путевых коэффициентов в моделях, особенности направленности влияния позволяют рассматривать личностную зрелость, интегральную гармоничность, общий уровень смысложизненных ориентаций в качестве единого блока субъектного потенциала, обеспечивающего продуктивную субъектную активность личности. Отметим, что рассмотренные теоретические положения соответствуют психологической эмпирике. Выделена феноменальная особенность личностной зрелости — ее связь с механизмом преодоления и с механизмами ценностно-­смыслового опосредствования, обусловливающими гармоничность и аутентичность бытия личности.

Библиографический список

Адлер, А. (2002). Практика и теория индивидуальной психологии. М.: Институт психотерапии.

Бодалев, А. А. (1988). Психология о личности. М.: Изд-во Моск. ун-та.

Бодалев, А. А. (1998). Вершина в развитии взрослого человека: характеристики и условия достижения. М.: «Флинта», «Наука».

Бодалев, А. А., Столин В. В. (2002). Общая психодиагностика. СПб.: Речь.

Головей, Л. А. (ред.). (2014). Психологическая зрелость личности. СПб.: Скифия-­принт.

Гришина, Н. В. (2018). «Самоизменения» личности: возможное и необходимое. Вестник Санкт-­Петербургского университета, 8(2), 126–138. DOI: 10.21638/11701/spbu16.2018.202

Гусейнов, А. Ш. (2015). Проявления субъектности в формах протестной активности личности. Казанский педагогический журнал, 5, 148–151.

Гусейнов, А. Ш. (2017). Психология протестной активности личности. Краснодар: КГУФКСТ.

Гусейнов, А. Ш., Шиповская В. В. (2021). Перспективы исследования личностной зрелости в русле субъектно-­бытийного подхода. Гуманизация образования, 3, 89–100. DOI: 10.24411/1029-3388-2020-10172

Журавлев, А. Л., Сергиенко, Е. А. (ред.) (2018). Разработка понятий современной психологии. М.: «Институт психологии РАН».

Журавлев, А. Л., Сергиенко, Е. А. (ред.). (2007). Феномен и категория зрелости в психологии. М.: Когито-­Центр.

Знаков, В. В. (2020). Психология возможного. М.: Когито-­Центр.

Знаков, В. В., Рябикина З. И. (2017). Психология человеческого бытия. М.: Смысл.

Леонтьев, Д. А. (2000). Тест cмысложизненных ориентаций. М.: Смысл.

Леонтьев, Д. А. (2003). Психология смысла: природа, строение и динамика смысловой реальности. М.: Смысл.

Леонтьев, Д. А. (2010). Личность в непредсказуемом мире. Методология и история психологии, 5(3), 120–140.

Леонтьев, Д. А. (2011). Новые ориентиры в психологии: от необходимого к возможному. Вопросы психологии, 1, 3–43.

Леонтьев, Д. А. (2022). К психологии возможного: антропологический, детерминистский, аксиологический и экзистенциальный контексты. Вестник Санкт-­Петербургского университета. Психология, 12(2), 111–121. DOI: 10.21638/spbu16.2022.201

Мамардашвили, М. К. (1966). Категория социального бытия и метод его анализа в экзистенциализме Сартра. В Т. И. Ойзерман (ред.) Современный экзистенциализм. Критические очерки (сс. 149–204) М.: Мысль.

Мамардашвили, М. К. (1995). Лекции о Прусте (психологическая топология пути). М.: Ad Marginem.

Мамардашвили, М. К. (2012). Очерк современной европейской философии. СПб.: Азбука, Азбука-­Атикус.

Маслоу, А. (1997). Психология бытия. М.: Рефл-бук.

Маслоу, А. (1999). Дальние пределы человеческой психики. СПб.: Евразия.

Мотков, О. И. (2020). Исследование гармоничности личности. М.: РУСАЙНС.

Олпорт, Г. (2002). Становление личности: избранные труды. М.: Смысл.

Пантилеев, С. Р. (1993). Методика исследования самоотношения. М.: Смысл.

Роджерс, К. (2002). Искусство консультирования и терапии. М.: Апрель Пресс, Эксмо.

Рябикина, З. И. (2005). Личность как субъект формирования бытийных пространств. В. В. Знаков, З. И. Рябикина (ред.) Субъект, личность и психология человеческого бытия (с. 45–57). М.: ИПРАН.

Рябикина, З. И. (2011). Психология саморегуляции с позиции субъектно-­бытийного подхода. В. И. Моросанова (ред.) Психология саморегуляции в XXI веке (сс. 126–141). СПб., М.: Нестор-­История.

Сергиенко Е. А. (2007). Зрелость: молярный или модулярный подход? В Журавлев А. Л., Сергиенко Е. А. (ред.) Феномен и категория зрелости в психологии (сс. 13–28) М.: «Институт психологии РАН».

Солдатова, Е. Л., Шляпникова И. А. (2015). Связь эго-идентичности и личностной зрелости. Вестник ЮУрГУ. Серия «Психология», 8(1), 29–33.

Фоменко, Г. Ю. (2010). Модусы бытия личности в контексте субъектно-­бытийного подхода. В В. В. Знаков, З. И. Рябикина, Е. А. Сергиенко (ред.) Психология субъекта и психология человеческого бытия (сс. 158–174) Краснодар: КубГУ.

Фоменко, Г. Ю. (2017). Самоопределение личности: субъектно-­бытийная интерпретация. Человек. Сообщество. Управление, 18(2), 101–119.

Фоменко, Г. Ю., Рябикина З. И. (2018). Психология безопасности личности: субъектно-­бытийный подход. Краснодар: КубГУ.

Фрейд, З. (1991). Психоанализ. Религия. Культура. М.: Ренессанс.

Фрейд, З. (1996). Психоаналитические этюды. Минск: ООО «Попурри».

Фромм, Э. (1992). Душа человека. М.: Республика.

Хорни, К. (2019). Невроз и личностный рост. Борьба за самореализацию. Санкт-­Петербург: Питер.

Шамионов, Р. М. (2012). Этнопсихологические детерминанты социальной активности и субъективного благополучия личности. Известия саратовского университета. Новая серия. Серия: акмеология образования. Психология развития, 1, 3–7.

Шиповская В. В., Гусейнов, А. Ш. (2019). Психосоциальная зрелость в контексте преодоления трудных ситуаций и предупреждения личностных деструкций. Казанский педагогический журнал, 3, 171–177.

Шиповская, В. В., Гусейнов, А. Ш. (2022). Флуктуации субъектности в контексте феноменов беспомощности и преодоления. Южно-российский журнал социальных наук, 23(1), 114–132. DOI: 10.31429/26190567-23-1-114-132

Ясперс, К. (2007). Великие философы. Будда, Конфуций, Лао-цзы, Нагарджуна. М.: ИФРАН.

Bentler, P. M. (1990). Comparative Fit Indexes in Structural Models. Psychological Bulletin, 107, 238–246.

Raykov, T., Marcoulides G. A. (2006). A First Course in Structural Equation Modeling. Mahwah, NJ: Lawrence Erlbaum.

Статья поступила в редакцию 02.06.2023
Статья принята к публикации 01.07.2023

Для цитирования: Гусейнов А. Ш., Шиповская В. В. Личностная зрелость как основа гармоничного и аутентичного бытия в условиях транзитивности. — Южно-российский журнал социальных наук. 2023. Т. 24. № 3. С. 24–44.

Personal Maturity as the Basis of Harmonious and Authentic Being under Conditions of Transitivity

A. Sh. Guseinov, V. V. Shipovskaya

Alexander Sh. Guseinov
E-mail: aguseinov@yandex.ru. ORCID: 0000-0003-0928-7725

Victoria V. Shipovskaya
E-mail: victship@mail.ru. ORCID: 0000-0001-8756-9838

Kuban State University, 149 Stavropolskaya st., Krasnodar, 350040, Russia.

Abstact. One of the key questions of psychology is what phenomena determine the harmoniousness and authenticity of personal being in the conditions of transitive reality. The search for an answer to this question requires an appeal to constructs of a subjectocentric, integrative nature. One of such polysystem and procedural phenomena is personal maturity, which continues to be the subject of discussions related to its content. This problem is in demand due to the lack of stable foundations of human existence, as well as in the context of connection with other key concepts, such as overcoming, harmoniousness, axiological orientation, subjective activity. This topic is revealed in a new quality in the subject-­being approach, where the creative role of the individual as a subject in the organization of being spaces is emphasized. On the basis of the subject-­being methodology the authors of the article enunciate a hypothesis about the influence of the achieved level of personal maturity on the harmoniousness of the personality, the formation of its axiological sphere and the integrity of the self-image. In the empirical study (N=150), the following methods were used: “Psychosocial maturity of personality” by Pashnev B. K.; “Methodology of self-attitude research” by Pantileev S. R., “Test of life orientations” Leontiev D. A., “Integral harmony of personality” by Motkov O. I.. The revealed patterns of significant travel coefficients in the models, the peculiarities of the direction of influence allow us to consider personal maturity, integral harmoniousness, life-purpose orientations as important components of a person’s subjective activity. It is proved that the general level of personal maturity and the general index of life values have a direct positive effect on the integral harmoniousness of personality. Formed life orientations play the role of mediator between maturity and integral harmoniousness. The authors have identified two mechanisms of formation of the regulatory experience of personality (inhibition and facilitation), which can proceed simultaneously. Maturity enhances the positive characteristics of self-regulation, and also suppresses the formation of negative regulatory experience. The role of maturity, meaningfulness, harmoniousness in the process of formation of self-attitude structures is established. Accordingly, personal maturity determines the subjective potential, productivity and harmoniousness of subjective activity and becomes the basis of the authentic existence of the individual in the conditions of a complicated socio-­cultural reality.

Keywords: personal maturity, transitivity challenges, subjective activity of a personality, self-attitude, meaningful life orientations, harmoniousness, subjective potential, authenticity of personal existence.

References

Adler, A. (2002). Praktika i teoriya individual’noy psikhologii [Practice and Theory of Individual Psychology]. M.: Institut psikhoterapii.

Allport, G. (2002). Stanovleniye lichnosti [The Formation of Personality]. M.: Smysl.

Bentler, P. M. (1990). Comparative Fit Indexes in Structural Models. Psychological Bulletin, 107, 238–246.

Bodalev, A. A. (1988). Psikhologiya o lichnosti [Personality Psychology]. M.: Izd-vo Mosk. un-ta.

Bodalev, A. A. (1998). Vershina v razvitii vzroslogo cheloveka: kharakteristiki i usloviya dostizheniya [The Peak in the Development of an Adult: Characteristics and Conditions of Achievement]. M.: “Flinta”, “Nauka”.

Bodalev, A. A., Stolin V. V. (2002). Obshchaya psikhodiagnostika [General Psychodiagnostics]. SPb.: Rech’.

Fomenko, G. Yu. (2010). Modusy bytiya lichnosti v kontekste sub’’yektno-­bytiynogo podkhoda [The Modes of Being of the Individual in the Context of the Subject-­Being Approach]. In V. V. Znakov, Z. I. Ryabikina, Ye. A. Sergiyenko (Eds) Psikhologiya sub’’yekta i psikhologiya chelovecheskogo bytiya (ss. 158–174) [Psychology of the Subject and Psychology of Human Existence] Krasnodar: KubGU.

Fomenko, G. Yu. (2017). Samoopredeleniye lichnosti: sub’’yektno-­bytiynaya interpretatsiya [Personal Self-­Determination: Subjective Existentialinterpretation]. Chelovek. Soobshchestvo. Upravleniye [Human. Community. Management], 18(2), 101–119.

Fomenko, G. Yu., Ryabikina Z. I. (2018). Psikhologiya bezopasnosti lichnosti: sub’’yektno-­bytiynyy podkhod [Psychology of Personal Security: A Subjective-­Existential Approach]. Krasnodar: KubGU.

Freud, Z. (1991). Psikhoanaliz. Religiya. Kul’tura [Psychoanalysis. Religion. Culture]. M.: Renessans.

Freud, Z. (1996). Psikhoanaliticheskiye trudy [Psychoanalytic Studies]. Minsk: OOO “Popurri”.

Fromm, E. (1992). Dusha cheloveka [The Human Soul]. M.: Respublika.

Golovey, L. A. (Ed.). (2014). Psikhologicheskaya zrelost’ lichnosti [Psychological Maturity of Personality]. SPb.: Skifiya-­print.

Grishina, N. V. (2018). “Samoizmeneniya” lichnosti: vozmozhnoye i neobkhodimoye [“Self-­Changes” of Person: Possible and Necessary]. Vestnik Sankt-­Peterburgskogo universiteta [Vestnik of Saint Petersburg University], 8(2), 126–138. DOI: 10.21638/11701/spbu16.2018.202

Guseynov, A. Sh. (2015). Proyavleniya sub’’yektnosti v formakh protestnoy aktivnosti lichnosti [Manifestations of Subjectivity in the Form of Protest Activity of Personality]. Kazanskiy pedagogicheskiy zhurnal [Kazan Pedagogical Journal], 5, 148–151.

Guseynov, A. Sh. (2017). Psikhologiya protestnoy aktivnosti lichnosti [Psychology of Protest Activity of Personality]. Krasnodar: KGUFKST.

Guseynov, A. Sh., Shipovskaya V. V. (2021). Perspektivy issledovaniya lichnostnoy zrelosti v rusle sub’’yektno-­bytiynogo podkhoda [Prospects for the Study of Personal Maturity in the Context of the Subject-­Being Approach]. Gumanizatsiya obrazovaniya [Humanization of Education], 3, 89–100. DOI: 10.24411/1029-3388-2020-10172

Horney, K. (2019). Nevroz i lichnostnyy rost. Bor’ba za samorealizatsiyu [Neurosis and Personal Growth. The Struggle for Self-­Realization]. SPb.: Piter.

Jaspers, K. (2007). Velikiye filosofy. Budda, Konfutsiy, Lao-tszy, Nagardzhuna [Great Philosophers. Buddha, Confucius, Lao Tzu, Nagarjuna]. M.: IFRAN.

Leont’yev, D. A. (2000). Test cmyslozhiznennykh oriyentatsiy [The Test of Life Orientations]. M.: Smysl.

Leont’yev, D. A. (2003). Psikhologiya smysla: priroda, stroyeniye i dinamika smyslovoy real’nosti [Psychology of Meaning: The Nature, Structure and Dynamics of Semantic Reality]. M.: Smysl.

Leont’yev, D. A. (2010). Lichnost’ v nepredskazuyemom mire [Personality in an Unpredictable World]. Metodologiya i istoriya psikhologii [Methodology and History of Psychology], 5(3), 120–140.

Leont’yev, D. A. (2011). Novyye oriyentiry v psikhologii: ot neobkhodimogo k vozmozhnomu [New Guidelines for Understanding Personality in Psychology: From Necessary to Possible]. Voprosy psikhologii [Questions of Psychology], 1, 3–43.

Leont’yev, D. A. (2022). K psikhologii vozmozhnogo: antropologicheskiy, deterministskiy, aksiologicheskiy i ekzistentsial’nyy konteksty [Towards the Psychology of the Possible: The Anthropological, the Deterministic, the Axiological and the Existential Context]. Vestnik Sankt-­Peterburgskogo universiteta. Psikhologiya [Vestnik of Saint Petersburg University. Psychology], 12(2), 111–121. DOI: 10.21638/spbu16.2022.201

Mamardashvili, M. K. (1966). Kategoriya sotsial’nogo bytiya i metod yego analiza v ekzistentsializme Sartra [The Category of Social Being and the Method of its Analysis in Sartre’s Existentialism]. In T. I. Oyzerman (Ed.) Sovremennyy ekzistentsializm. Kriticheskiye ocherki [Modern Existentialism. Critical Essays] (pp. 149–204) M.: Mysl’.

Mamardashvili, M. K. (1995). Lektsii o Pruste. Psikhologicheskaya topologiya puti [Lectures on Proust. Psychological Topology of the Path]. M.: Ad Marginem.

Mamardashvili, M. K. (2012). Ocherk sovremennoy yevropeyskoy filosofii [An Essay on Modern European Philosophy]. SPb.: Azbuka, Azbuka-­Atikus.

Maslow, A. (1997). Psikhologiya bytiya [Psychology of Being]. M.: Refl-buk.

Maslow, A. (1999). Dal’niye predely chelovecheskoy psikhiki [The Far Reaches of the Human Psyche]. SPb.: Yevraziya.

Motkov, O. I. (2020). Issledovaniye garmonichnosti lichnosti [The Study of the Harmony of Personality]. M.: RUSAYNS.

Pantileyev, S. R. (1993). Metodika issledovaniya samootnosheniya [Methodology of Self-­Attitude Research]. M.: Smysl.

Raykov, T., Marcoulides G. A. (2006). A First Course in Structural Equation Modeling. (2nd ed.). Mahwah, NJ: Lawrence Erlbaum.

Rodzhers, K. (2002). Iskusstvo konsul’tirovaniya i terapii [The Art of Counseling and Therapy]. M.: Aprel’ Press, Eksmo.

Ryabikina, Z. I. (2005). Lichnost’ kak sub’’yekt formirovaniya bytiynykh prostranstv [Personality as a Subject of the Formation of Existential Spaces]. In V. V. Znakov, Z. I. Ryabikina (Eds) Sub’’yekt, lichnost’ i psikhologiya chelovecheskogo bytiya (pp. 45–57) [Subject, Personality and Psychology of Human Existence]. M.: IPRAN.

Ryabikina, Z. I. (2011). Psikhologiya samoregulyatsii s pozitsii sub’’yektno-­bytiynogo podkhoda [Psychology of Self-­Regulation from the Perspective of the Subject-­Being Approach]. In V. I. Morosanova (Ed.) Psikhologiya samoregulyatsii v XXI veke (pp. 126–141) [Psychology of Self-­Regulation in the XXI Century]. SPb., M.: Nestor-­Istoriya.

Sergiyenko Ye. A. (2007). Zrelost’: molyarnyy ili modulyarnyy podkhod? [Maturity: Molar or Modular Approach?]. In Zhuravlev A. L., Sergiyenko Ye. A. (Eds) Fenomen i kategoriya zrelosti v psikhologii (pp. 13–28) [The Phenomenon and Category of Maturity in Psychology] M.: “Institut psikhologii RAN”.

Shamionov, R. M. (2012). Etnopsikhologicheskiye determinanty sotsial’noy aktivnosti i sub’’yektivnogo blagopoluchiya lichnosti [Ethnopsychological Determinants of Social Activity and Subjective Well-­Being of Personality]. Izvestiya saratovskogo universiteta. Novaya seriya. Seriya: akmeologiya obrazovaniya. Psikhologiya razvitiya [Izvestiya of Saratov University. New Series. Series: Educational Acmeology. Developmental Psychology], 1, 3–7.

Shipovskaya V. V., Guseynov, A. Sh. (2019). Psikhosotsial’naya zrelost’ v kontekste preodoleniya trudnykh situatsiy i preduprezhdeniya lichnostnykh destruktsiy [Psychosocial Maturity in the Context of Overcoming Difficult Situations and Prevention of Personal Destructions]. Kazanskiy pedagogicheskiy zhurnal [Kazan Pedagogical Journal], 3, 171–177.

Shipovskaya, V. V., Guseynov, A. Sh. (2022). Fluktuatsii sub’’yektnosti v kontekste fenomenov bespomoshchnosti i preodoleniya [Fluctuations of Personality Subjectivity in the Context of Helplessness and Overcoming]. Yuzhno-­rossiyskiy zhurnal sotsial’nykh nauk [South Russian Journal of Social Sciences], 23(1), 114–132. DOI: 10.31429/26190567-23-1-114-132

Soldatova, Ye. L., Shlyapnikova I. A. (2015). Svyaz’ ego-identichnosti i lichnostnoy zrelosti [Correlation Between Ego-­Identity and Maturity of Personality]. Vestnik YUUrGU. Seriya “Psikhologiya” [Bulletin of the South Ural State University. Series “Psychology”], 8(1), 29–33.

Zhuravlev, A. L., Sergiyenko, Ye. A. (Eds) (2007). Fenomen i kategoriya zrelosti v psikhologii [The Phenomenon and Category of Marity in Psychology]. M.: Kogito-­Tsentr.

Zhuravlev, A. L., Sergiyenko, Ye. A. (Eds) (2018). Razrabotka ponyatiy sovremennoy psikhologii [Development of Concepts of Modern Psychology]. M.: “Institut psikhologii RAN”.

Znakov, V. V. (2020). Psikhologiya vozmozhnogo [Psychology of the Possible]. M.: Kogito-­Tsentr.

Znakov, V. V., Ryabikina Z. I. (2017). Psikhologiya chelovecheskogo bytiya [Psychology of Human Existence]. M.: Smysl.

Received 02.06.2023
Accepted 01.07.2023

For citation: Guseinov A. Sh., Shipovskaya V. V. Personal Maturity as The Basis of Harmonious and Authentic Being Under Conditions of Transitivity. South-­Russian Journal of Social Sciences. 2023. Vol. 24. No. 3. Pp. 24–44.

Психология личности

Рис. 1 Диаграмма путей для показателей личностной зрелости, смысложизненных ориентаций, гармоничности личности и самоотношения (модель 1)

Fig. 1 Diagram of paths for indicators of personal maturity, life-meaning orientations, personal harmony and self-attitude (model 1)

Рис. 2. Диаграмма путей для показателей личностной зрелости, смысложизненных ориентаций, гармоничности личности и самоотношения (модель 2)

Fig. 2. Diagram of paths for indicators of personal maturity, life-meaning orientations, personal harmony and self-attitude (model 2)

Рис. 3. Диаграмма путей для показателей личностной зрелости, смысложизненных ориентаций, гармоничности личности и самоотношения (модель 3)

Fig. 3. Diagram of paths for indicators of personal maturity, life-meaning orientations, personal harmony and self-attitude (model 3)

Рис. 4. Диаграмма путей для показателей личностной зрелости, смысложизненных ориентаций, гармоничности личности и самоотношения (модель 4)

Fig. 4. Diagram of paths for indicators of personal maturity, life-meaning orientations, personality harmony and self-attitude (model 4)

Рис. 5. Диаграмма путей для показателей личностной зрелости, смысложизненных ориентаций, гармоничности личности и самоотношения (модель 5)

Fig. 5. Diagram of paths for indicators of personal maturity, life-meaning orientations, personal harmony and self-attitude (model 5)

Рис. 6. Диаграмма путей для показателей личностной зрелости, смысложизненных ориентаций, гармоничности личности и самоотношения (модель 6)

Fig. 6. Diagram of paths for indicators of personal maturity, life-meaning orientations, personality harmony and self-attitude (model 6)